surat pinjaman wang
Contoh Surat Pinjaman Wang Syarikat Ini termasuk sejarah pembayaran anda jumlah hutang yang anda bayar tempoh sejarah kredit anda dan bilangan jaring kredit yang baharu anda buka di bawah nama anda. Contoh Surat Permohonan Pinjaman Wang Dari Syarikat.
Elak Member Tak Bayar Hutang Lelaki Ini Buat Contoh Surat Perjanjian Pinjaman Kalau Kawan Nak Pinjam Duit
Surat Perjanjian Pinjaman Wang adalah satu dokumen yang isi kandungannya menyatakan tentang pinjaman yang berlaku antara dua pihak.
. Contoh Surat Perjanjian Pinjaman Wang Dengan Kawan. 22022022 kebanyakan rakyat malaysia yang makan gaji memang dah biasa dengan istilah kwsp iaitu kumpulan wang simpanan pekerja. Contoh surat perjanjian pinjaman duit kalau kawan hendak pinjam duit anda.
Apabila anda memohon pinjaman duit kedua-dua faktor yang akan segera terjejas skor kredit adalah jumlah hutang yang anda bayar dan jumlah kredit yang baru dibuka. Sekiranya Anda mahu berikan bantuan kepada peminjam wang sila baca artikel syarikat pinjaman wang. Disebabkan pemberi pinjam menjalankan aktiviti tanpa lesen maka mereka.
Surat rasmi pinjaman wang arasmi. Menurut Syafiq Bahtiar lagi jangan jadi Ah Long pula kasi duit dekat ramai-ramai orang. Senang cerita surat ini sebagai bukti wujudnya transaksi pinjaman.
Pinjam Contoh Surat Pinjaman Wang Ini bukan sahaja memberi anda alternatif untuk pinjaman tetapi juga menunjukkan bahawa syarikat itu mampu untuk membuat pinjaman bagi anda. Anda boleh mendapatkan pinjaman segera on the net seluruh Malaysia pada. Oct 30 2019 nota pengajian perniagaan sem 3 1.
Saya ingin memulangkan semua kemuliaan kepada allah swt atas apa yang dia gunakan ibu rossa dalam hidup saya nama saya adalah mira binti muhammad dari bandar bandung di indonesia saya seorang janda dengan 2 anak suami saya mati dalam. Mengikut kata sepakat pinjaman di bawah kop hak tindakan jika peminjam batil melunaskan hutangnya dalam mengaso 28 hari selepas mengaso genap tarikh. Hutang Contoh Surat Perjanjian Pinjaman Wang Pinjaman peribadi adalah solusi nan mudah dan cepat bagi bantu anda selesaikan dilema kewangan anda.
Contohnya anda pinjamkan RM1000000 pada kawan sebab dia dah janji bulan bintang nak bayar dalam masa 6 bulan. Sabah sarawak boleh mohon bantuan wang duit segera daripada syarikat kami dengan mudah. Contoh Surat Perjanjian Pinjaman Wang jumlah pembiayaan nang anda layak pinjam bergantung pada beberapa faktor seolah-olah pendapatan anda komitmen hutang apakala dan sejarah kredit.
Contoh Surat Perjanjian Pinjaman Wang Dari Syarikat - Contoh Surat Permohonan Pinjaman Wang Dari Syarikat. Pada masa kini World wide web adalah di mana-mana sahaja dengan menggunakan hujung jari kami. Contoh Surat Perjanjian Pinjaman Wang Ingat.
Pinjaman peribadi merupakan jenis pinjaman tidak bercagar. Anda tidak berhak membayar apa-apa kepada pemberi pinjam tanpa lesen. Sesusah mana pun anda jangan sesekali buat pinjaman kewangan dengan Alongside.
Membenarkan pemegang kad mengeluarkan wang tunai wang tunai dengan segera 24 jam sehari dari mana-mana ATM lender seluruh dunia atau di kaunter di bank mengikut experienced kredit yang tersedia. Contoh surat perjanjian sebelum kawan pinjam duit. Bukan itu sahaja ada segelintir peminjam yang hanya mendiamkan diri selepas duit diberikan dan memberikan 1001 alasan apabila peminjam mahu.
Contoh Surat Pinjaman Wang Dari Syarikat. Baik dari pihak peminjam atau penerima. Ini kerana semasa proses pendaftaran kau memang sudah kena siap-siap add IC.
Sehubungan dengan itu kami ingin memohon sumbangan ikhlas dari pihak tuan untuk melancarkan perjalanan program kami. Surat Perjanjian Pinjaman Wang Pdf. Contoh Perjanjian Pinjam Duit.
Senang cerita surat ini sebagai bukti wujudnya transaksi pinjaman. Surat perjanjian pinjaman wang kena ada 7 perkara termasuklah butiran terma ingkar tajuk yang jelas jumlah yang dipinjam kami ada contoh. Contoh Surat Pinjaman Wang Dari Majikan.
Puan edith yang bekerja dengan mdp holdings bhd dipinjamkan ke mdp technology sdn. Surat perjanjian pinjaman wang ini mengandungi poin perjanjian dan semua maklumat yang memperincikan peraturan dan syarat aktiviti pinjaman wang. Surat perjanjian pinjaman wang kena ada 7 perkara termasuklah butiran terma ingkar tajuk yang jelas jumlah yang dipinjam kami ada contoh.
Surat Perjanjian Pinjaman Wang Berlesen Ini bukan sahaja memberi anda alternatif untuk pinjaman tetapi juga menunjukkan bahawa syarikat itu mampu untuk membuat pinjaman bagi anda. Di bawah ini adalah contoh surat perjanjian pinjaman wang untuk kawan. Contoh Surat Pinjaman Wang Dari Syarikat Saya cuma berniaga makanan kecil kecilan sya tak ada slip gaji dan epftapi saya boleh hantar 3 bulan lender statement saya saya ada duit masuk sekarang kurang ya 3ksetiap bulansy nak pinjam duit dgn kadar byr rendah setiap bulan0102769535.
Surat Perjanjian Pinjaman Wang ini Keperluan tidak dijangka yang muncul tiba-tiba boleh menyebabkan simpanan jika pun ada tidak cukup untuk kes terdesak sama ada untuk urusan sendiri atau keluarga. YA BETUL pinjaman berlesen pinjaman alongside segera membantu anda pinjam untuk dapat duit dan wang segera dalam 24 jam dengan mudah dan senang TETAPI ia sama sekali tidak menyelesaikan masalah anda KELAK. Dalam kumpulan syarikat yang sama dari 1 jun 2020 hingga 30 sept.
Ini untuk one off sebab nak tolong kawan-kawan sahaja. Dengan ini saya nama pemberi pinjam wang. Tujuan utama penggunaan surat ini dalam kegiatan penerimaan hutang adalah untuk mencegah munculnya kes yang dapat membahayakanmerugikan salah satu atau kedua-dua pihak yang berkenaan.
Apa yang menarik dengan BigPay ialah kau tak perlu sediakan apa-apa dokumen. Surat Perjanjian Pinjaman Wang adalah satu dokumen yang isi kandungannya menyatakan tentang pinjaman yang berlaku antara dua pihak. Maimon binti ahmad akaun eksekutif sas hotel 26080 kuantan pahang darul makmur.
Ini analitis bahawa anda tidak demi menyediakan cagaran atau punya penjamin untuk meminjam wang. 14 contoh surat pengesahan jawatan. Contohnya anda pinjamkan RM1000000 pada kawan sebab dia dah janji bulan bintang nak bayar dalam masa 6 bulan.
Berikut merupakan contoh surat perjanjian pinjaman duit yang anda boleh buat sendiri menggunakan Microsoft Word atau terus print dari gambar di bawah ini.
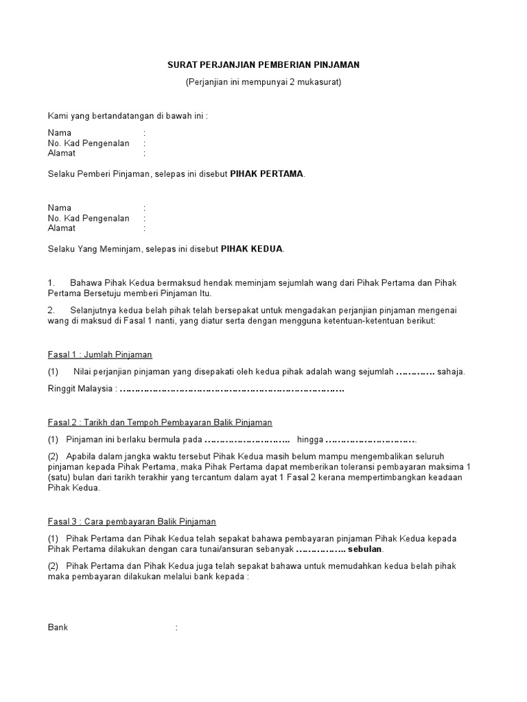
Surat Penjanjian Pemberian Pinjaman Pdf
Surat Perjanjian Pemberian Pinjaman Pdf
Contoh Surat Perjanjian Pinjaman Pdf
1 Akta Sewa Beli Akta Pemberi Pinjam Wang 1951
7 Perkara Wajib Dalam Surat Perjanjian Pinjaman Wang
Contoh Surat Perjanjian Pinjaman Wang Pdf Latest Letter Website
Surat Perjanjian Pinjam Wang Letter 7saudara Com
Surat Rasmi Permohonan Pinjaman Wang Letter 7saudara Com
Contoh Surat Perjanjian Yang Korang Boleh Buat Kalau Kawan Nak Pinjam Duit Remaja
Contoh Surat Perjanjian Sebelum Kawan Pinjam Duit
Contoh Surat Perjanjian Sebelum Kawan Pinjam Duit
Contoh Surat Perjanjian Pinjaman Wang Pdf Letter 7saudara Com
Contoh Surat Pinjaman Wang Letter 7saudara Com
Surat Perjanjian Pinjaman Wang Malaysia Letter 7saudara Com
Surat Perjanjian Pemberian Pinjaman Ringkas Pdf
Contoh Surat Perjanjian Sebelum Kawan Pinjam Duit
